Quiz Summary
0 of 20 Questions completed
Questions:
Information
You have already completed the quiz before. Hence you can not start it again.
Quiz is loading…
You must sign in or sign up to start the quiz.
You must first complete the following:
Results
Results
0 of 20 Questions answered correctly
Time has elapsed
You have reached 0 of 0 point(s), (0)
Earned Point(s): 0 of 0, (0)
0 Essay(s) Pending (Possible Point(s): 0)
Categories
- Not categorized 0%
-
Tento výsledok znamená vážne riziko zlyhania.
Ak by bolo dnes Testovanie 9, dieťa by takmer určite neuspelo a stratilo by obrovské množstvo bodov na úlohách, ktoré sa každý rok opakujú.
Bez cielenej prípravy je veľmi vysoká šanca, že sa nedostane na lepšiu strednú školu.
👉 Toto je posledný moment, kedy sa to dá zmeniť.
Chcem zabrániť zlyhaniu na Testovaní 9 -
Toto je hranica neúspechu.
Dieťa má presne tie medzery, kvôli ktorým žiaci každý rok prichádzajú o 20–30 %.
Stačí niekoľko zlých otázok a výsledok môže rozhodnúť o tom, na akú školu sa dostane.
👉 Toto je moment, kedy sa dá výsledok ešte bezpečne vytiahnuť.
Chcem zvýšiť výsledok dieťaťa -
Toto je podpriemerný výsledok.
Na mnohé školy to nestačí.
Dieťa má dobrý základ, ale robí presne tie chyby, ktoré na Testovaní 9 stoja najviac bodov.
👉 Toto je ideálny moment z 60 % spraviť 80 %+.
Chcem zlepšiť výsledok -
Toto je priemer.
Stačí na bežnú školu, ale nestačí na tie, kde je veľký nápor uchádzačov.
Práve tieto posledné body rozhodujú.
👉 Tu sa hrá o to, či sa dieťa dostane tam, kam chce – alebo nie.Chcem dostať dieťa nad priemer v matematike
Chcem dostať dieťa nad priemer v slovenskom jazyku
https://kurzy.neviestovyriesto.com/produkt/testovanie-9-kompletna-priprava-videokurzy-na-doma-slovencina-matematika/ -
Veľmi dobrý základ.
Ale práve tu väčšina žiakov stratí body na zbytočných chybách.
Pár správnych stratégií vie tento výsledok posunúť medzi top uchádzačov.
Chcem sa dostať medzi najlepších
Chcem sa dostať medzi najlepších
https://kurzy.neviestovyriesto.com/produkt/testovanie-9-kompletna-priprava-videokurzy-na-doma-slovencina-matematika/ -
Výborný výsledok.
Ak si ho udržíš aj v marci, máš výbornú pozíciu.
Na Testovaní 9 však rozhodujú detaily – a tie sa dajú natrénovať.
Chcem si udržať špičkový výsledok
- Review
- Answered
- Correct
- Incorrect
-
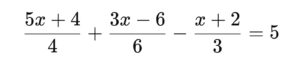
Question 1 of 20
1. Question
-
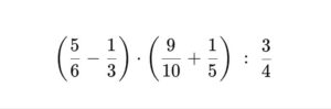
Question 2 of 20
2. Question
-
Question 3 of 20
3. Question
-
Question 4 of 20
4. Question
-
Question 5 of 20
5. Question
-
Question 6 of 20
6. Question
-
Question 7 of 20
7. Question
-
Question 8 of 20
8. Question
-
Question 9 of 20
9. Question
-
Question 10 of 20
10. Question
-
Question 11 of 20
11. Question
-
Question 12 of 20
12. Question
-
Question 13 of 20
13. Question
-
Question 14 of 20
14. Question
-
Question 15 of 20
15. Question
-
Question 16 of 20
16. Question
-
Question 17 of 20
17. Question
-
Question 18 of 20
18. Question
-
Question 19 of 20
19. Question
-
Question 20 of 20
20. Question